RubberCrete: A rubber based concrete system with superplasticizer and graphite nano particle-rheology, strength, shrinkage, and durability features
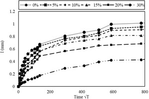
Scrap tires pose a severe environmental threat as current disposal practices of landfill storing or mass burning lead to extensive soil pollution and carbon dioxide production. As opposed to disposing, recent studies have made efficient progress in salvaging this material for use in abundantly produced concrete mixes. The present study contributes to this continuous effort by investigating the use of recycled rubber gravel from scrapped tires as a substitute for natural fine gravel in self-compacting composite (SCC) mixes. A total of six SCC mixtures were considered for testing in which fine gravel was substituted for different recycled rubber gravel contents of 0, 5, 10, 15, 20 and 30% by volume of sand and graphite nano particle was inserted by percentages of mass of cement – 0.01, 0.02, and 0.03. The comprehensive examination of concrete material properties includes workability, rheological properties, mechanical properties, thermal conductibility, shrinkage, water absorption, and penetration behavior water and chloride ions. The results indicate an optimal rubber content of 15% for efficient workability while also being a limiting rate for rheological characteristics. The properties of thermal conductibility, water absorption, and water penetration were notably enhanced with an increase in rubber content. In contract, a negative impact on both mechanical properties and chloride ion penetration were observed for SCC incorporating rubber content. Overall, the current investigation produces further insight into multiple pertinent properties of rubberized SCC while also addressing several limitations presented in the literature.
1 Introduction
An abundance of industrial waste is produced at alarming rates which fuels the demand for efficient recycling processes. Such efforts would allow waste material to be repurposed as substitutes to natural resources leading to sustainable practices. One of the most profusely available waste is scrapped tires in which an estimated one billion tires are discarded every year with a projected growth of five billion tires by 2030 [1, 2]. Scrapped tires are often thrown into landfills every year resulting in soil, water, and air contamination. Tires also contain toxic and soluble...
