Investigation of the effect of multiple impacts on clinker breakage using the impact bed breakage test
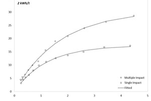
The present paper studies the breakage behaviour of clinker subjected to repeated impacts using a drop weight tester. The main aim of this study is to compare the effect of single and multiple impacts on particle bed breakage. Impact bed breakage tests were therefore carried out in such a way that the same energy could be provided by single and multiple impacts. The effect of the number of impacts on the particle size distribution was examined and the results showed that increasing the number of impacts reduced the resistance of the particle bed to impact breakage. In view of the data that had been obtained the size-dependent breakage model developed by Eksi et al. [1] was modified to include the effect of the number of impacts.
1 Introduction
The performance of a size-reduction machine depends to a great extent on the operating conditions. However, it is a fact that the breakage characteristics of the material to be crushed have a great effect on the performance of the equipment and the circuit. Researchers and companies have long been aware that particle breakage characterisation has an important role in the modelling and optimisation of comminution operations. The breakage behaviour of materials has therefore been a subject of research for almost a century and various tests have been developed to investigate the...
