WUHAN UNIVERSITY OF SCIENCE AND TECHNOLOGY

Effect of precalciner collaborative disposal of RDF and bituminous coal on the generation and transformation of NOx and SO2

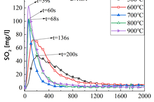
It is one of the current development trends to utilize cement kilns to dispose of refuse derived fuel. However, there is a problem of unstable pollutant discharge in the actual disposal process. This paper takes refuse derived fuel disposed via a cement plant in China and two kinds of standard bituminous coal as the research object and conducts experiments with a high-tempera­ture tubular furnace. The release characteristics of NOx and SO2 from two kinds of refuse derived fuel at 500~900 °C and two kinds of bituminous coal at 700~1000 °C were studied. The experimental results showed that the peak concentration of NOx was more affected by temperature at low temperature (500~600 °C), and the peak concentration of NOx refuse derived fuel was less affected by temperature at high temperature (700~900 °C). In the process of bituminous coal combustion at various temperatures, the first peak value of NOx was less affected by temperature, and the second peak value was more affected by temperature. In the combustion process of two kinds of refuse derived fuel, the conversion rate of NOx showed an “inverted V” shape with the change of combustion temperature, while the conversion rate of SO2 showed a “positive V” shape with the change of combustion temperature. Both NOx and SO2 played a mutually inhibitory role in the formation process. At 1000 °C, the combustion efficiency of bituminous coal was low, and a few drops of substance containing N in bituminous coal would be released with the complete combustion of C, while a large amount of substances containing S in bituminous coal would be released with the complete combustion of C.

1 Introduction

The increasing production of cement has led to a significant increase in coal consumption. Under the typical pulverized coal combustion state, NOx is mainly generated by nitrogen oxidation in coal, accounting for more than 80% [1]. Refuse derived fuel (RDF) has the characteristics of high calorific value, stable combustion, ease of transport, ease of store, low secondary pollution and low emissions of dioxins. The application of RDF as an alternative fuel for coal in the cement industry can not only reduce the production cost of enterprises, but also realize the utilization and...

Related articles:

Issue 2/2023 WUHAN UNIVERSITY OF SCIENCE AND TECHNOLOGY

Emission characteristics of NOx and SO2 during the co-combustion of refuse-derived fuels and bituminous coal in a cement precalciner

Aiming at the unstable emission of NOx and SO2 when the cement industry uses refuse-derived fuel (RDF) to partially replace the traditional pulverized coal as fuel for combustion, this paper uses the...

more
Issue 05/2024 WUHAN UNIVERSITY OF SCIENCE AND TECHNOLOGY

Effect of Al2O3 on NOx and SO2 of RDF combustion

The formation of gas products (NOx and SO2) in the combustion of RDF and 0.00 g, 0.02 g, 0.04 g, and 0.08 g Al2O3 at 900 °C was studied by using the experimental platform of a double-tube furnace set...

more
Issue 1-2/2019 WUHAN UNIVERSITY OF TECHNOLOGY

Coal combustion mechanisms and fuel NOx formation characteristics in a precalciner environment

As NOx emissions become more and more severe it is important to find a method of low nitrogen combustion for coal in the precalciners in the cement industry. The operating temperature and the grade of...

more
Issue 8/2021 WUHAN UNIVERSITY OF SCIENCE AND TECHNOLOGY

Effect of raw material components on RDF pyrolysis gas products

Even though RDF can be used as an alternative fuel to the cement industry, the utilization of RDF results in sulfur dioxide (SO2), nitrogen oxides (NOx) and particles emissions. Doping with additives...

more
Issue 7-8/2018 WUHAN UNIVERSITY OF TECHNOLOGY

Gas formation characteristics and inter-action during pulverized coal combustion in a precalciner environment

Pulverized coal combustion was investigated for bituminous coal and anthracite at different temperatures (973K and 1173K) in a horizontal fixed-bed reactor test system using computational fluid...

more
×