Modelling of component behaviour around a cement grinding circuit
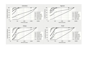
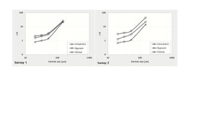
This paper presents the results of component modelling work performed around a closed-circuit cement grinding operation. In this context, the ball mill and the air classifier were modelled by applying perfect mixing and efficiency curve approaches, respectively. The studies implied that the shape of the efficiency curve varies with the type of material. Since the specific gravities of the components differed between 3 and 2.3, the bypass decreased from 11.69 to 5.24 % (survey 1) and the cut size increased from 29 to 35 µm (survey 1). Finally, the ball mill model was developed on a component basis, and the r/d values were found to be affected by the feed composition and material properties. The results showed that the clinker with the highest hardness value had the lowest rate of breakage.
1 Introduction
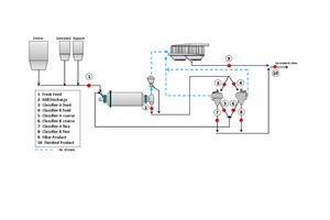
Cement is produced by grinding and mixing various types of raw material such as clinker, limestone, gypsum, slag, fly ash, natural pozzolanas, etc. Since different types of cement are found in the market, each type has its own process conditions and product specifications. It is known that the properties of the raw materials have influence on any process, so the grinding performance is also affected. This study aims to illuminate these differences by investigating the ball milling and air classification operations and then developing model structures for use in simulation...
