Research into the effect of accelerators on the properties of α-hemihydrate gypsum slurry
Gypsum-based materials count as green building materials and have therefore been widely used in the decoration of structures. Due to the rise of rapid prototyping technology the inorganic non-metallic materials used, especially cement and gypsum, will face the problem of controlling the setting time. In order to explore an effective approach for rapid transition of the setting from gypsum slurry to hardened material this paper investigates the influence of inorganic alkali-metal salt accelerators on the setting transition rate, mechanical strength and volume stability of hemihydrate gypsum. The results show that alkali-metal salt accelerators can clearly accelerate the setting time and, in addition, the accelerators improve the early-age (30 min) compressive strength and reduce the linear expansion of the hardened material although they have a negative effect on the long-term (1 d) strength development. These results can provide a fundamental guide for the preparation of gypsum slurry building materials for three dimensional printing (3DP) in practical engineering.
1 Introduction
Because they count as green building materials, gypsum-based materials have been widely used in wall materials, grouting materials and flooring materials due to their superior performance in terms of better fluidity and compressive strength [1, 2]. The development of science and technology means that rapid reaction materials and three-dimensional printing (3DP) materials are now gradually being used in the field of building materials [3, 4].
At present, most of the research into the inorganic non-metallic 3DP materials used has involved cement materials, and the research has mainly focused on the mechanical properties of layered moulding hardened materials [5-7]. Jay G. Sanjayan et al. studied the effect of the print-time interval on the mechanical properties of extrusion-based 3DP concrete in different directions, including inter-layer strength and compressive and flexural strengths [8]. Some researchers have also examined the influence of the particle size distribution of cementitious powders and the layer thickness on the porosity and compressive strength of 3DP samples [9-11]. Gypsum-based materials have also become the most popular 3DP decoration or handicraft materials for use in powder printing technology due to their faster hydration rate and greater whiteness [12]. However, hemihydrate gypsum powders used in 3D powder printing are facing the problem of the incompatibility between hydration rate, thickness of a single printing layer and size of decorative structure. Gypsum slurry used in 3DP for slurry extrusion also faces the problem of the setting time of hemihydrate gypsum. This means that accurately controlling the hydration rate of hemihydrate gypsum, especially the transformation time from slurry state to hardened state, is the key factor in achieving 3D printing of large decorative structures.
It is well known that the hydration process for gypsum is similar to that of cement and consists mainly of five phases: pre-induction period, induction period, acceleration period, deceleration period and stabilization period. The setting process of hemihydrate gypsum depends mainly on the induction period, so a method is needed for shortening the induction period within the adjustable range [13]. The literature indicates that some neutral salts could accelerate the hemihydrate gypsum hydration process, especially during the induction period [14, 15].
In order to explore the setting time transition rate that is suitable for 3D slurry printing, this paper will study the effect of inorganic accelerators, such as alkali-metal sulfates, on the setting time and mechanical properties of alpha hemihydrate gypsum (α-HH) during hydration. This research used X-ray diffraction (XRD) and scanning electron microscopy (SEM) to clarify the influencing mechanisms. The results provide useful guidance for the preparation of gypsum rapid reaction materials and 3D printing building materials for future practical engineering.
2 Materials and methods
2.1 Materials
2.1.1 Gypsum analysis
The alpha hemihydrate gypsum (as defined in the Chinese standard JC/T 2038-2010 [23]) used for this study was supplied by the JinJiu Company (China). It has well-defined crystal facets with crystal diameters ranging from 5 μm to 20 μm [16]. The chemical composition and physical properties are shown in Table 1 and Table 2 respectively.
2.1.2 Accelerators
The inorganic accelerators in this study are three types of composite material. These are saturated alkali-metal salts, abbreviated to LS, NS and KS(KHS). The basic physical properties are shown in Table 3. This study used accelerator/α-HH addition levels of 0%, 5%, 10%, 15%, 20%, 25% and 30% (by weight).
2.2 Testing the macro properties
2.2.1 Setting time
The setting time includes initial setting time and final setting time. In this article the initial setting time of gypsum slurry with accelerators was measured using the Vicat needle apparatus in accordance with ASTM C472-99 [17]. Gypsum slurries were prepared with a constant water/solids ratio of 0.37.
2.2.2 Compressive strength
Each sample made with accelerators for the compressive strength test was cast in a 40 mm × 40 mm × 40 mm mould. The samples were demoulded after the final set. The 5 min, 10 min, 15 min, …, 1 d, 3 d and 3 d-dry compressive strengths were tested using the TYP-300 compression test machine with a loading rate of 2.4±0.2 KN/s.
2.2.3 Linear expansion rate
The linear expansion rate represents the volume stability of hardened gypsum during the compressive strength development phase. Due to the different solubilities of the accelerators in water, the accelerators were used in this experiment at the same concentration of 0.5 mol/L. The testing process for the rate of linear expansion was as follows: the length of the hardened sample was first measured after demoulding and the change length over 30 min was then tested using the GS-II dry shrinkage deformation test machine.
2.3 Testing the micro properties
The mineral compositions of the hydration products in different hydration states were tested using the D8 Advance XRD (Bruker company, Germany). The micromorphology of hardened gypsum with or without accelerators was examined by QUANTA FEG 450 SEM (FEI company, America).
3 Results and discussion
3.1 Macro properties
3.1.1 Setting time
The influence of accelerators on the setting time of gypsum slurry is shown in Figure 1. It can be seen that the initial setting times of the gypsum slurries were accelerated by the addition of LS, NS, KS and KHS and that increasing the addition level of the accelerators shortened the setting times [18]. When compared with the control sample the accelerators were effective in shortening the initial setting times of the gypsum slurries. However, the different types of accelerator gave different results: the acceleration trend was KS (KHS)>NS>LS. The KS accelerator, for example, reduced the setting time by nearly 60% when its addition level was 10% (by weight).
3.1.2 Compressive strength
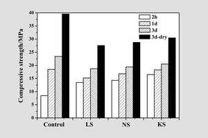
Figure 2 shows the influence of the three types of accelerator on the compressive strength of hardened gypsum slurry. The calculated relative growth rates of the compressive strengths compared with the control sample are shown in Table 4. According to the results the compressive strengths of hardened gypsum slurry with accelerators are improved at early ages (before 2 hours) but reduced at long-term ages (after 1 day). It can also be seen from the data that the compressive strength of the control sample increases linearly with increasing hydration time but that the addition of accelerators resulted in negative growth in the compressive strengths. The degree of negative growth of the three accelerators was LN>NS>KS.
3.1.3 Linear expansion rate
It is well known that the hydration of hemihydrate gypsum is accompanied by a micro-expansion in volume. As shown in Figure 3, the samples all exhibited the same change in linear expansion: the linear expansion of hardened gypsum slurry increases initially with increasing setting time and then remains stable. In contrast to the control sample, the stable linear shrinkage rate of 0.17% was achieved after a hydration time of 120 min. There was a clear decrease in the linear expansion rate and the stability time of samples with accelerators. The trend in this decrease was LS (0.09%, 15 min)>NS (0.05%, 10 min)>KS (0.02%, 5 min). The addition of accelerators therefore not only accelerates the hydration rate of hemihydrate gypsum but can also improve the volume stability of the hardened gypsum.
3.2 Micro properties
XRD and SEM analyses were employed in order to explain and prove the reasons for the effect of accelerators on the macro properties.
3.2.1 XRD analysis
XRD was used to study the phases in the hydration products in order to provide further proof that accelerators could promote the generation of hydration products. The results are shown in Figure 4. It can be seen (from Figure 4 a) that the main hydration product of hardened gypsum slurry with or without accelerators is dihydrate gypsum (CaSO4·2H2O). When KS is added the double salt K2Ca2(SO4)3 is also produced. The relative heights of the characteristic peak of CaSO4·2H2O increased gradually with the following order of accelerator addition: KS>NS>LS>control sample.
The hydration product of the control sample during the hydration time of 5 min (Figure 4 b) is still hemihydrate gypsum (CaSO4·1/2H2O). In contrast to the control sample, the characteristic peak of CaSO4·2H2O appeared in the samples containing accelerators. This proved that the accelerators can accelerate the conversion rate of hemihydrate gypsum to dihydrate gypsum and then increase the setting time of hydration.
3.2.1 SEM
Based on the analysis of XRD results, the SEM images of hardened gypsum slurry with or without accelerators are shown in Figure 5.
It can be seen that the crystals in the hardened control sample exhibit elongated micromorphology and are tightly interlocked (Figure 5 a). In contrast to the control sample there are massive crystals in the hardened gypsum slurry containing the LS and KS accelerators. Moreover, there are clear symbiotic and cluster growth patterns among the hardened crystals and there is a decreased degree of network structure between the crystals (Figures 5 b and d). However, in contrast to the three above-mentioned hydration products, the crystals of the hydration products when NS is added (Figure 5 c) exhibit short prismatic or plank-shaped micromorphology and there is a relatively loose interlocking effect between the crystals.
The SEM images of hardened gypsum slurry containing accelerators therefore provide further proof of the effect of accelerators on the compressive strength of hardened gypsum slurry. Accelerators can accelerate the gypsum hydration process due to the faster hydration rate at early ages (before 30 min), but the incomplete degree of transformation of hemihydrate gypsum to dihydrate gypsum results in more structural defects in the crystal structure of the hydration products and in a less compact crystalline network. The final compressive strength of the hardened gypsum slurry is also reduced.
4 Conclusion
The main conclusions about the influence of gypsum slurry containing accelerators can be summarized as follows:
1. Accelerators can accelerate the setting time, especially the initial setting time, of gypsum slurry. The acceleration trend differs with the addition of different alkali-metal salts: KS (KHS)>NS>LS. In particular, KS (10% saturated solution) shortened the initial setting time of gypsum slurry by almost 60%.
2. Accelerators can improve the early strength of hardened gypsum before 30 min due to the rapid setting. During the subsequent hydration (after 2h) there is a decrease in the strength growth of hardened gypsum containing accelerators and there is even some negative growth. This is because during the later hydration the crystals of the gypsum modified by accelerators are not able to grow completely and the resulting crystal structure defects result in looser interlocking of the crystal network.
3. Accelerators can reduce the micro-expansion rate during the hydration and hardening processes of the gypsum material and can shorten the time needed to reach dimensional stability of the hardened gypsum. The decrease in the rate of linear expansion is as follows: LS (0.09%, 15 min)>NS (0.05%, 10 min)>KS (0.02%, 5 min).
Acknowledgement
Financial supports from the National Natural Science Foundation of Henan Province (202300410284) and High-level talents research start project of Luoyang Institute of Science and Technology (2018BZ06) and Open Fund Project of Hubei Building Waterproof Engineering Technology Research Center, and testing support from the Materials Research and Testing Center of Wuhan University of Technology are gratefully acknowledged.
