Research into the hydration kinetics of calcium aluminate cement and of calcium aluminate cement that contains spinel
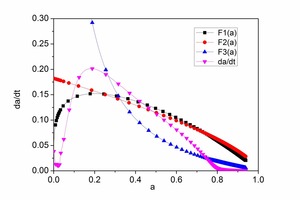
Calcium aluminate cement (CAC) is well known for its rapid hardening, early strength, impermeability, resistance to corrosion and other advantages. Calcium aluminate cement that contains spinel is excellent, with high temperature performance, impermeability and durability. Calcium aluminate cement containing spinel (HAC) is the residue obtained by a special process after extraction of Ti-Si-Fe alloy from blastfurnace slag with a high titanium content. A kinetic model is established for the hydration of CAC and HAC. Based on the model and the measured emission of heat of hydration under isothermal condition, equations are derived to simulate the three basic processes of the hydration of the two materials. These are nucleation and crystal growth (NG), interactions at phase boundaries (I) and diffusion (D). The kinetic factors, e.g. a, n and K, are determined. These are the reaction rate, reaction exponent and reaction rate constant, respectively.
1 Introduction
Commercial production of calcium aluminate cement (CAC) from bauxite and limestone has been developed by Lafarge, France, by a fusion method since 1908 [1].
CAC is subdivided into pure calcium aluminate cement and alumina cement containing small amounts of SiO2 and Fe2O3.
CAC, with its rapid hardening, early strength, impermeability, resistance to corrosion, etc. due to the high Al2O3 content, is commonly used in the refractory industry [2, 3]. Because the spinel can absorb FeO, MnO, TiO2 and V2O5, this improves the slag viscosity and slag penetration. High alumina cement (HAC)...
