Method and device for operating a production system
(22) 01.07.2019
(43) 09.01.2020
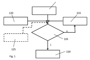
(57) The present invention relates to a method and to a device for operating a production system in which at least one production process which consumes electrical energy intensively and has the purpose of manufacturing a product which comprises at least two process stages is carried out, wherein intermediate products which are generated in the respective process stage (100) can be stored in at least one interim store, wherein, in particular, there is provision that the electrical supply of the production system is provided by means of at least one energy source which fluctuates over time and is, e.g. regenerative, in such a way that an electrical supply which is sufficient for the production process according to one of the at least two process stages is tested (105), in that in the case of a sufficient electrical supply, the production process according to one of the at least two process stages is carried out (110), and in that in the case of an electrical supply of the production process which is not sufficient for the production process according to the one process stage, an intermediate product which is manufactured in the production process according to the one process stage is put into interim storage (115).
(71) thyssenkrupp Industrial Solutions AG, ThyssenKrupp Allee 1, 45143 Essen (DE)
(84) ARIPO (BW, GH, GM, KE, LR, LS, MW, MZ, NA, RW, SD, SL, ST, SZ, TZ, UG, ZM, ZW), Eurasian (AM, AL, BY, KG, KZ, RU, TJ, TM), European (AL, AT, BE, BG, CH, CY, CZ, DE, DK, EE, ES, FI, FR, GB, GR, HR, HU, IE, IS, IT, LT, LU, LV, MC, MK, MT, NL, NO, PL, PT, RO, RS, SE, SI, SK, SM, TR), OAPI (BF, BJ, CF, CG, Cl, CM, GA, GN, GQ, GW, KM, ML, MR, NE, SN, TD, TG)
